Ghanaian side chick sues her ‘sugar daddy’ over failed promises

[ad_1]
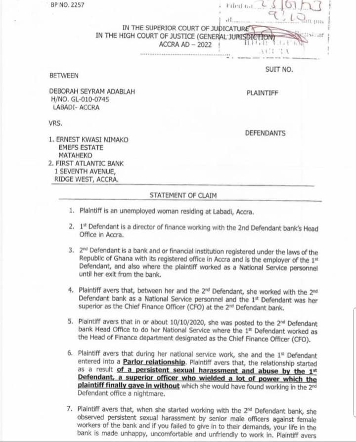
A Ghanaian lady, identified as Deborah Seyram Adablah, has sued her sugar daddy for reneging on his promises to take care of her.
Adablah, a former employee of First Atlantic Bank, dragged her former boss, who doubles as her lover, Ernest Kwasi Nimako, to the Accra High Court, and he is expected to appear before Friday, January 27, 2023.

In a suit dated January 23, 2023, Deborah contends that Ernest agreed to buy her a car, pay for her accommodation for three years, give her a monthly stipend of GH3,000, divorce his wife to marry her, and also give her a lump sum to start a business.
In her writ of summons and statement of claims, which have since gone viral on social media, Deborah alleges that the “sugar daddy” bought the car but registered it in his name.
Later, he denied her access to use it after about a year of enjoying the Honda Civic, worth GH120,000, while he also paid for only one year of accommodation.
Deborah, whose national service period ended in July 2021, admits to being in a relationship with the married man, claiming that her happiness at the workplace was under threat had she failed to give in to the relationship.
She also accused the defendant of abuse, sexual harassment, maltreatment, exploitation and also lowering her reputation.
She further noted that she turned down an opportunity to be a permanent staff after her national service due to the manager’s promise of making life comfortable for her.
Deborah revealed that her boss further promised to divorce his wife and marry her because his marriage had broken down beyond repairs.
However, in July 2022, their relationship went south when Ernest decided to stop paying her rent and also providing other benefits he promised her.
This forced Deborah to sue her sugar daddy and former boss for breach of contract.
She’s seeking an order from the court directing the defendant to fulfil all promises, including payment of a lump sum to help her start a business and take care of herself. Below is a list of her demands:
Transfer the title of the car into her name.
Cost of repairs of 10,000gh.
Pays lump sum money to enable her to start a business. Pay remaining 2 years’ rent.
Pays the outstanding arrears of her monthly allowance from July 2022 to the date of judgment and pays all medical expenses as a result of side effects. General damages against her. Any other relief(s) the court deems necessary including legal costs.





[ad_2]







